• Предмет: Математика
  • Автор: oxanamatantsev
  • Вопрос задан 3 года назад

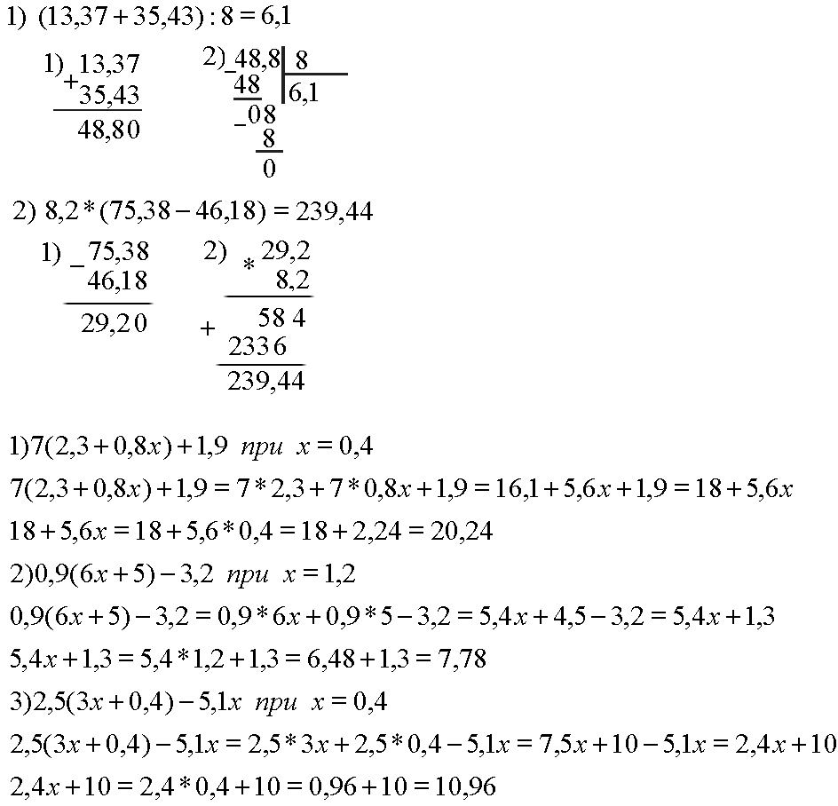
НОМЕР 1443 (1,2)

НОМЕР 1444

Приложения:

oxanamatantsev: расписывайте

Ответы

Ответ дал: pocchtaa
3
..........................................
Приложения:
Вас заинтересует