• Предмет: Физика
  • Автор: lera16062001
  • Вопрос задан 2 года назад

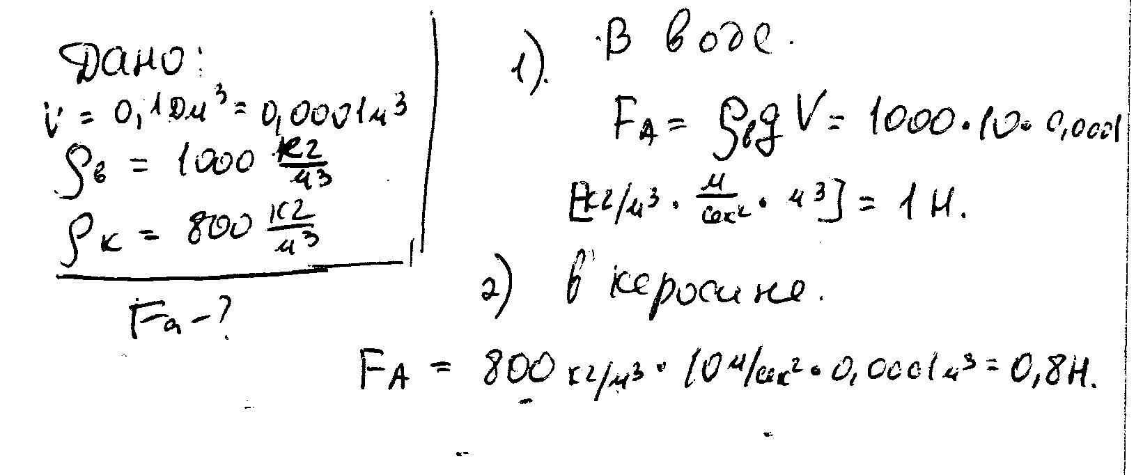
Объем куска железа 0,1 дм3. Какая выталкивающая сила будет на него действовать при полном погружении в воду? в керосин?
(надо писать так:
ДАНО I СИ I РЕШЕНИЕ )

Ответы

Ответ дал: ужнеужели
36
Объем куска железа 0,1 дм3. Какая выталкивающая сила будет на него действовать при полном погружении в воду? в керосин?
Приложения:
Вас заинтересует