• Предмет: Алгебра
  • Автор: kriks123
  • Вопрос задан 2 года назад

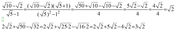
√10-√2
_______
√5-1


2√2+√50-√32

Ответы

Ответ дал: Аноним
0
Смотрите во вложении..........
Приложения:
Вас заинтересует