• Предмет: Алгебра
  • Автор: lavrent335
  • Вопрос задан 3 года назад

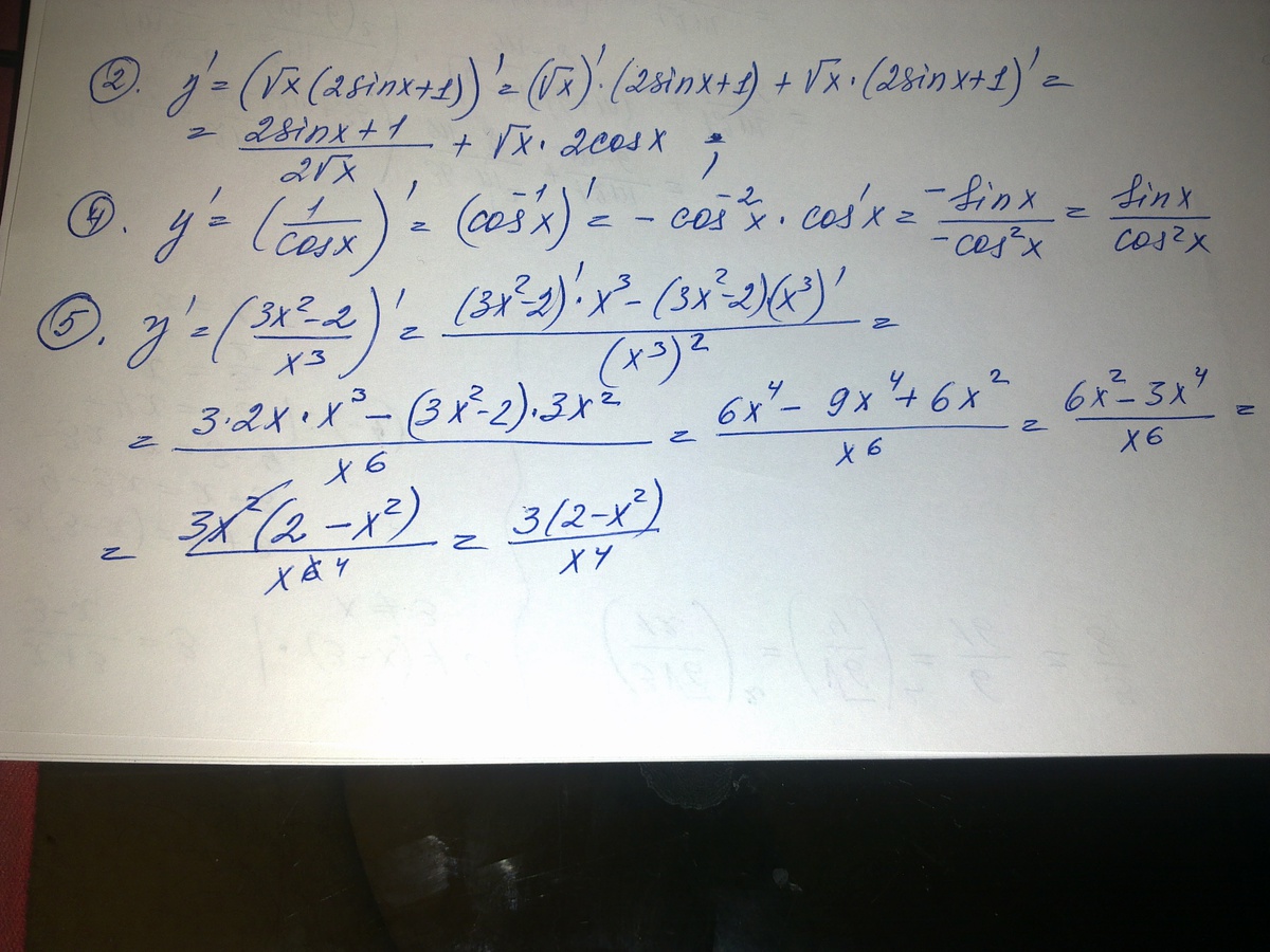
алгебра 10 класс,производная! решите номера ,отмеченные кружочком !!

Приложения:

Ответы

Ответ дал: Rechnung
2
..................................................
Приложения:
Вас заинтересует