Ответы
Ответ дал:
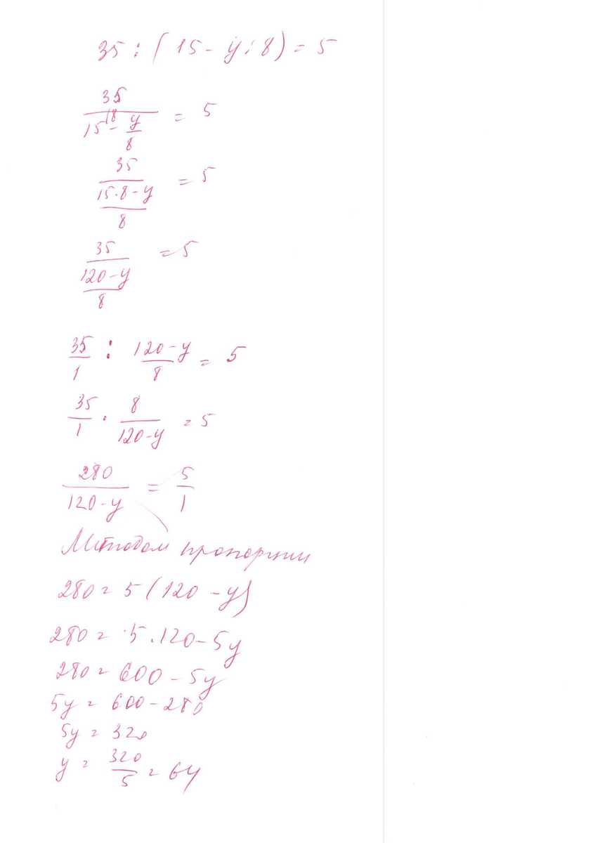
1
35:((120-у)/8)=5
35=(5*(120-у)/8)
35*8=5*120-5у
280=600-5у
5у=600-280
5у=320
у=320/5=64.
1 действие. у/8
2д. 15-у/8=(15*8-у)/8=(120-у)/8
3д.35/(120-у)/8=35*8/(120-у)=280/(120-у)
4д. Методом пропорции =(120-у)*5=280
(120-у)=280/5
(120-у)=56
120-56=у
у=64.
35=(5*(120-у)/8)
35*8=5*120-5у
280=600-5у
5у=600-280
5у=320
у=320/5=64.
1 действие. у/8
2д. 15-у/8=(15*8-у)/8=(120-у)/8
3д.35/(120-у)/8=35*8/(120-у)=280/(120-у)
4д. Методом пропорции =(120-у)*5=280
(120-у)=280/5
(120-у)=56
120-56=у
у=64.
Приложения:
Jeltaia:
что именно, я просто расписала 2 варианта решения
первый вариант, второй не рассматриваю - там запись с ошибкой - в уравнении только один знак равенства, и причем тут пропорция?
не рассматривайте) а что против пропорции-то?
хотите, скину скан решения)
да
ок, скоро скину)
уравнение пропорцией не решается, потому и против
?? смотрите решение, все это решается по-разному.
но не для учебника 4-5 класса
если рассматривать так, то да, но категорично говорить, что ур-е пропорцией не решается тоже нельзя ведь)
Ответ дал:
2
35:(15-у:8)=5
-как найти неизвестный делитель? надо делимое разделить на частное, делим:
15-у:8=35:5
15-у:8=7
-как найти неизвестное вычитаемое? надо из уменьшаемого вычесть разность, вычитаем:
у:8=15-7
у:8=8
-как найти неизвестное делимое? надо делитель умножить на частное, умножаем:
у=8·8
у=64
35:(15-64:8)=5
35:(15-8)=5
35:7=5
5=5
Вас заинтересует
2 года назад
2 года назад
2 года назад
7 лет назад
9 лет назад