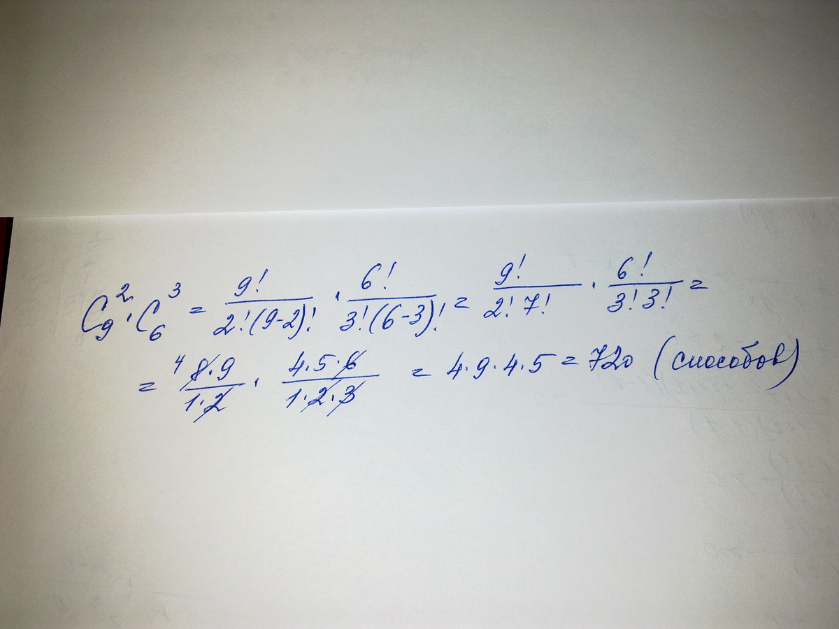
Из 9 ручек и 6 карандашей надо выбрать 2 ручки и 3 карандаша. Сколькими способами можно сделать этот выбор?
Ответы
Ответ дал:
7
................................................
Приложения:

Вас заинтересует
2 года назад
7 лет назад
7 лет назад
9 лет назад