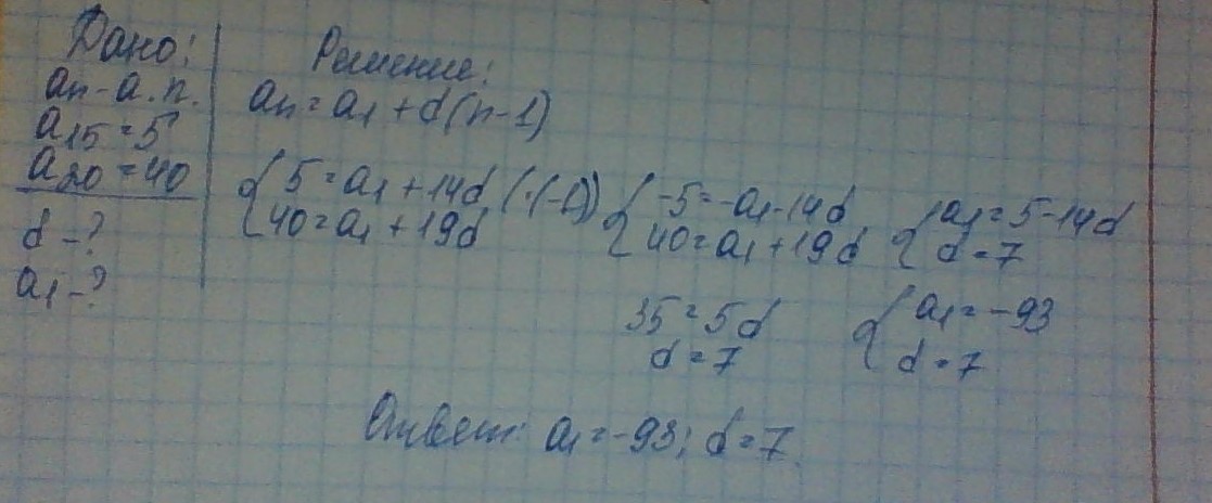
В арифметической прогрессии (An) известны A15=5 и A20=40. Найдите разность и первый член этой арифметической прогрессии. Прошу с решением!!
Ответы
Ответ дал:
6
Заказ готов!;-)
В таких случаях без системы,увы,мы бессильны.
(Решена сложением).
В таких случаях без системы,увы,мы бессильны.
(Решена сложением).
Приложения:

zver610:
спасибо, не додумался :D
Вас заинтересует
2 года назад
2 года назад
2 года назад
2 года назад
7 лет назад
9 лет назад