• Предмет: Алгебра
  • Автор: ивангромов
  • Вопрос задан 11 лет назад

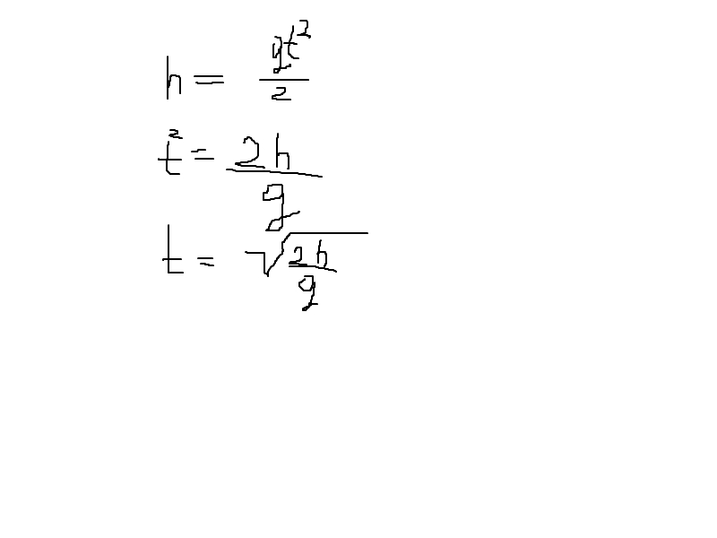
из формулы h = gt(в квадрате) дробная черта 2 выразите t

Ответы

Ответ дал: Марал
0

t=квадратный корень из 2h/g

t=sqrt(frac{2h}{g})

Ответ дал: zhmereke
0

довольно легкое задание ,смтори во вложения

Приложения:
Вас заинтересует