Помогите, пожалуйста;(((
1. Трансформатор понижает напряжение с 240 В до 120 В. Определитель кол-во витков во вторичной катушке трансформатора , если первичная катушка содержит 80 витков.
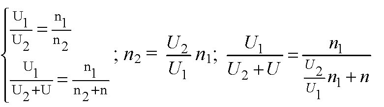
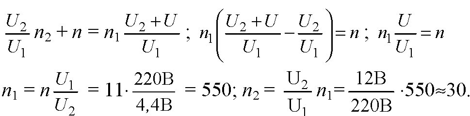
2. Напряжение на концах первичной и вторичной обмоток ненагруженного трансформатора равны u1=220 и u2=11В. Каково отношение числа витков n1 в первичной обмотке к числу витков n2 во вторичной.
Ответы
Ответ дал:
5
1)1000 / 200 = 5 - коэффициент трансформации, тогда
в первичной обмотке: 80*5=400 витков
2)
в первичной обмотке: 80*5=400 витков
2)
Приложения:



NaIFL:
А я думала, что первое решается через n2/n1=u2/n1 ;)
Вас заинтересует
2 года назад
2 года назад
2 года назад
7 лет назад
9 лет назад