• Предмет: Алгебра
  • Автор: Varya0
  • Вопрос задан 11 лет назад

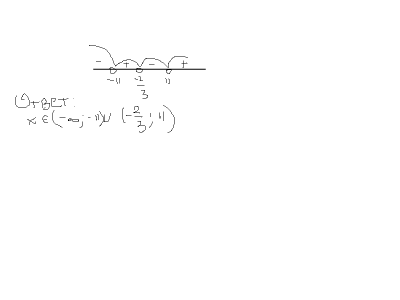
решите неравенство,разложив его левую часть на множители:

(x-2/3)(x2-121)<0

Ответы

Ответ дал: NotkaXD
0

Тогда смотри всё просто=) (х-2/3)(х-11)(х+11)  и изображаешь методом интервала промежутки)))

Приложения:
Вас заинтересует