• Предмет: Алгебра
  • Автор: 14eee
  • Вопрос задан 3 года назад

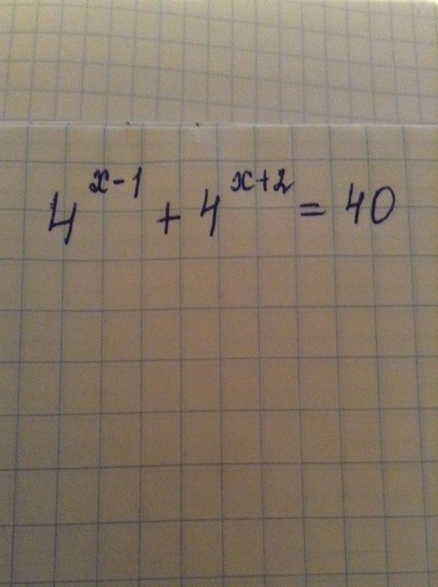
Помогите решить уравнение

Приложения:

Ответы

Ответ дал: mmb1
1

4^(x-1)+4^(x+2)=40

4^(x-1)*(1+4^3)=40

4^(x-1)*(1+64)=40

4^(x-1)*65=40

4^(x-1)=40/65=8/13

прологарифмируем по основанию 4

log4 4^(x-1)=log4 8/13

x=1+log4 (8/13)

Вас заинтересует