• Предмет: Алгебра
  • Автор: olyakiseleva
  • Вопрос задан 3 года назад

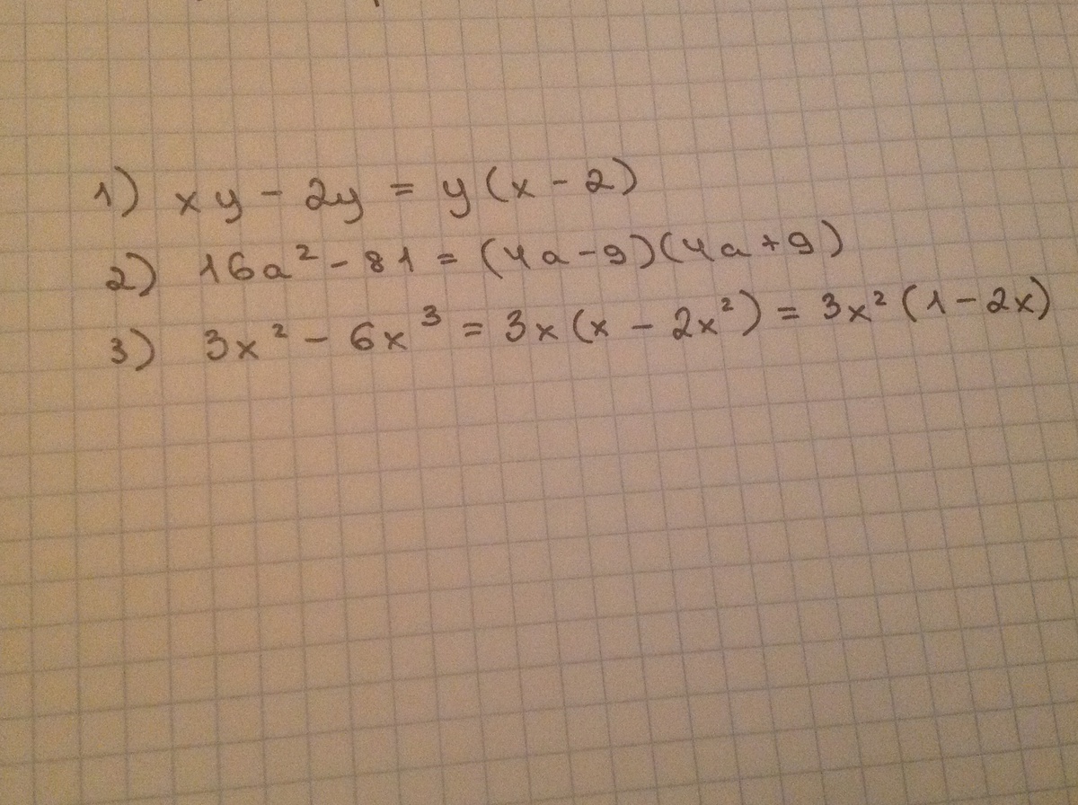
Разложить на множители xy-2y, 16a в квадрате -81, 3x в квадрате -6x в кубе.

Ответы

Ответ дал: Paul2910
1
Решение приложено к снимку
Приложения:

olyakiseleva: Но 81 не в квадрате, а значит нужно решать не по формуле мне так кажется
Paul2910: 81 = 9 в квадрате, следовательно можно по формуле
Вас заинтересует