• Предмет: Алгебра
  • Автор: nastyashilyaeva
  • Вопрос задан 3 года назад

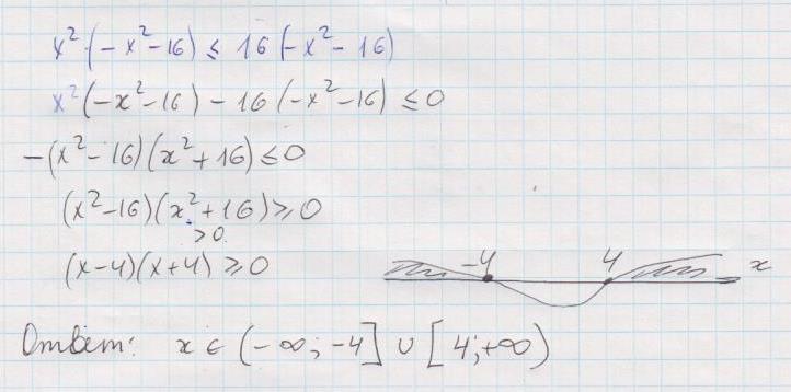
решите неравенство
x^2(-x^2-16)< либо равно 16(-x^2-16)

Ответы

Ответ дал: belcatya
1
решение в приложении:
Приложения:

nastyashilyaeva: спасибо огромное!!!!!
Вас заинтересует