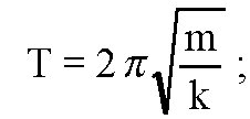
подвешенный на пружине груз массой 0.2 кг совершает 200 колебаний за 100с.Какова жесткость пружины?
Ответы
Ответ дал:
0
Груз массой 2 кг подвешен на пружине и совершает гармонические колебания, график которых приведен на рисунке 83. Какова жесткость пружины?
Приложения:
Вас заинтересует
2 года назад
2 года назад
2 года назад
7 лет назад
7 лет назад
9 лет назад
9 лет назад