• Предмет: Математика
  • Автор: dashka20030303
  • Вопрос задан 2 года назад

пожалуйста решите дроби!!!зарание спасибо!
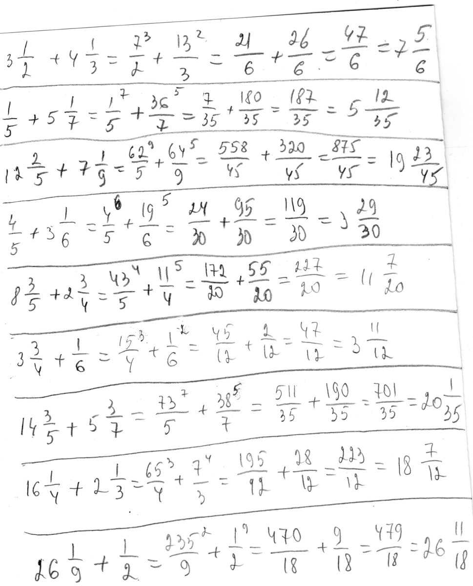
1)3 1/2 + 4 1/3=
2)1/5 + 5 1/7=
3)12 2/5 + 7 1/9=
4)4/5 + 3 1/6=
5)8 3/5 + 2 3/4=
6)3 3/4 + 1/6=
7)14 3/5 + 5 3/7=
8)16 1/4 + 2 1/3=
9)26 1/9 + 1/2=

Ответы

Ответ дал: tamarabernukho
0
решение смотри в приложении
Приложения:
Ответ дал: Nastya171167
1
смотри решение во вложении
Приложения:
Вас заинтересует