Найти значение выражения. В ответах книги получилось
а у меня
. Хочется узнать кто прав. Если права книга, будьте добры скинуть решение
Приложения:

Ответы
Ответ дал:
1
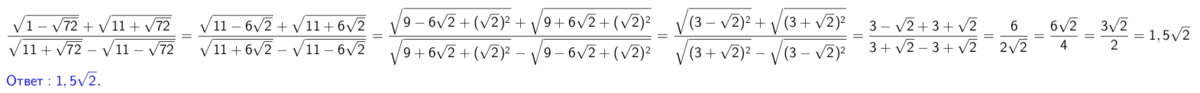
Смотрите решение в прикреплённом файле.
Приложения:

Ответ дал:
1
решаем. домножаем числителе и знаменатель на сопряженное выражение к знаменателю
(11-sqrt (72)+2sqrt (121-72)+11+sqrt (72))/(11+sqrt (72)-11+sqrt(72))=(22+2*7)/(2sqrt (72))=36/12sqrt (2)=3/sqrt (2)
(11-sqrt (72)+2sqrt (121-72)+11+sqrt (72))/(11+sqrt (72)-11+sqrt(72))=(22+2*7)/(2sqrt (72))=36/12sqrt (2)=3/sqrt (2)
Вас заинтересует
2 года назад
2 года назад
2 года назад
7 лет назад
9 лет назад