• Предмет: Алгебра
  • Автор: Nekto911
  • Вопрос задан 2 года назад

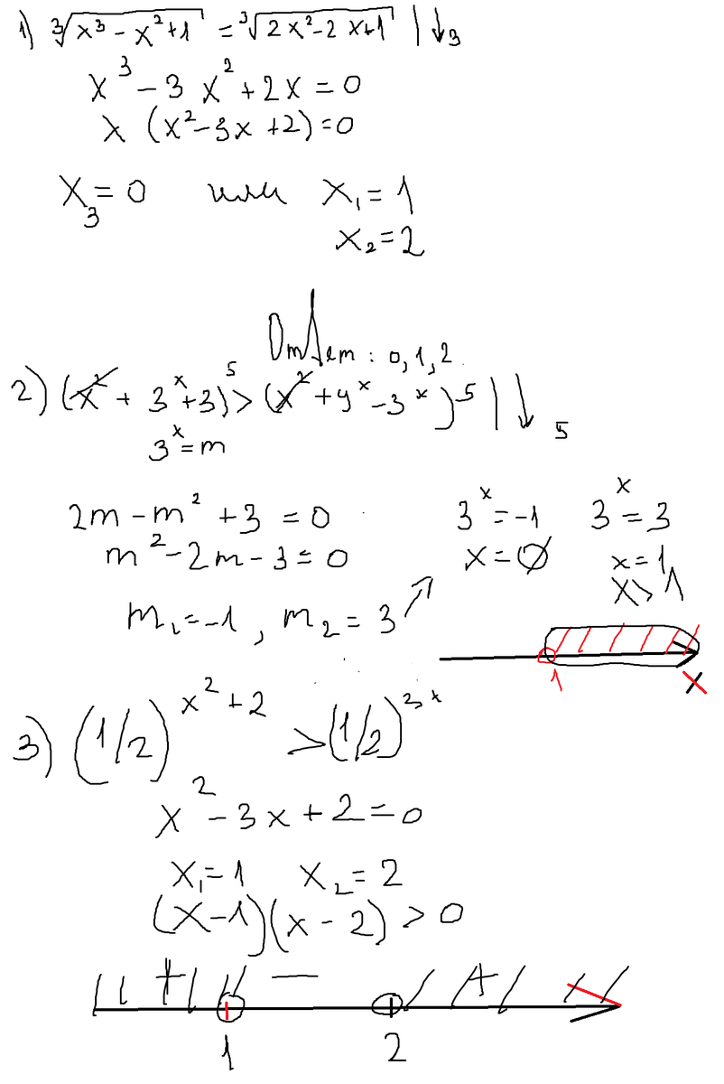
Помогите решить с 1 по 3 задание . Заранее благодарна .

Приложения:

Ответы

Ответ дал: Ensider
1
..................смотри
Приложения:
Вас заинтересует