• Предмет: Алгебра
  • Автор: умница298
  • Вопрос задан 3 года назад

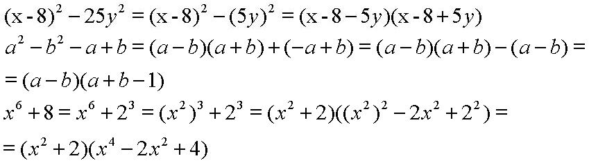
Представьте в виде произведения.
а) ( х-8)в квадрате - 25ув квадрате.
б) а в квадрате - b в квадрате - а +b.
в) х в шестой + 8.


умница298: помогите!!!!!!!!

Ответы

Ответ дал: pocchtaa
1
....................................................
Приложения:
Вас заинтересует