Ответы
Ответ дал:
1
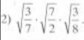
sqrt 3/7 x 7/2 x 3\8= sqrt 9/16=3/4
sqrt -квадратный корень ,запишешь под общий квадратный корень
sqrt 1.3^2-1.2^2= sqrt (1.3-1.2)(1.3+1.2=sqrt 0.1x2.5=sqrt 0.25=0.5
sqrt -квадратный корень ,запишешь под общий квадратный корень
sqrt 1.3^2-1.2^2= sqrt (1.3-1.2)(1.3+1.2=sqrt 0.1x2.5=sqrt 0.25=0.5
Ответ дал:
0
1)0,25.2)0,5625.Все...
Вас заинтересует
2 года назад
2 года назад
2 года назад
7 лет назад
7 лет назад
9 лет назад