• Предмет: Алгебра
  • Автор: mathew0304
  • Вопрос задан 2 года назад

Решите уравнение, пожалуйста
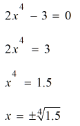
2 x^{4} - 3=0

Ответы

Ответ дал: Аноним
1
...........................................
Приложения:
Вас заинтересует