Помогите, 9 класс...
Дана арифметическая прогрессия 25,21,27...
Найдите сумму первых шести её членов.
SkyBy:
В условии имеется ошибка? a(n) - 25; 21; 17?
Нет вроде решаю ГИА 2015, написано Дана арифметическая прогрессия 25; 21; 17;... Найдите сумму первых шести её членов. Если что ответ должен быть 90 (проверил в ответах) НУЖНО РЕШЕНИЕ.
В Вашем условии ошибка. 3 член арифметической прогрессии равен 17, а не 27.
ААА ошибся точно..
Ответы
Ответ дал:
1
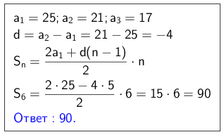
Смотрите решение в прикреплённом файле.
Приложения:
Спасибо, я вот не могу понять откуда взяли 5> не подскажеш?
n = 6;
d ( n - 1 ) = -4 ( 6 - 1 ) = -4 * 5 = - 20
d ( n - 1 ) = -4 ( 6 - 1 ) = -4 * 5 = - 20
http://znanija.com/task/11094144 Если сможеш, попробуй зделать...
Ответ дал:
0
a6=a1+(n-2)d ; a6=25+5d; a6 =25+5(-4); a6=25+(-20);a6=25-20;a6=5; d=a2-a1
Вас заинтересует
2 года назад
2 года назад
2 года назад
2 года назад
7 лет назад
7 лет назад
9 лет назад