• Предмет: Алгебра
  • Автор: kamilka0
  • Вопрос задан 3 года назад

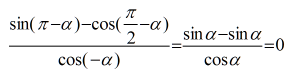
Упростите выражения:sin(П-а)-сos(П/2+a)/cos(-a)

Ответы

Ответ дал: Аноним
1
Вот так у меня получилось по вашему примеру
Приложения:
Вас заинтересует