Помогите пожалуйста
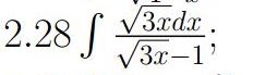
2. Вычислить интеграл методом подстановки
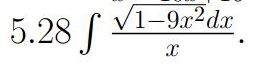
5. Вычислить интеграл от следующей функции
Приложения:
Ответы
Ответ дал:
1
2.28


5.28


5.28
мохинсан:
тут второе не доконца, надо доделать, пока сейчас над этим работаю
извини конечно, но ты говорил что работаешь над продолжением 5.28, получилось?
Вас заинтересует
2 года назад
2 года назад
2 года назад
7 лет назад
7 лет назад
9 лет назад