• Предмет: Алгебра
  • Автор: kgordienko02
  • Вопрос задан 2 года назад

ДАЮ 60 БАЛЛОВ
Помогите пожалуйста!
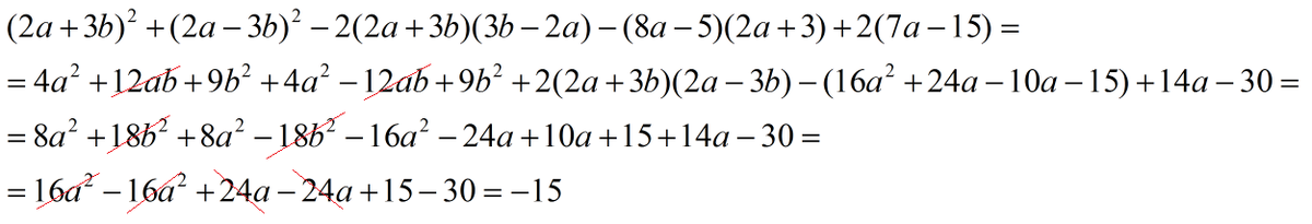
Докажите, что значение выражения (2а+3b)² + (2a-3b)² - 2(2a+3b)(3b-2a)-(8a-5)(2a+3)+2(7a-15) не зависит от значегия переменных.


kgordienko02: Тоесть нужно сделать так,чтобы не было a,b)))

Ответы

Ответ дал: Аноним
1
4a²+12ab+9b²+4a²-12ab+9b²+8a²-18b²-16a²-24a+10a+15+14a-30=-15
Ответ дал: SteelR
2
Решение во вложенном файле 
Приложения:
Вас заинтересует