Ответы
Ответ дал:
1
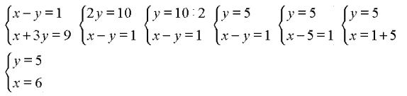
x-y=1
x+3y=9
отнимем
-4y=-8
y=2
x-2=1
x=3
x+3y=9
отнимем
-4y=-8
y=2
x-2=1
x=3
Ответ дал:
4
..................................................
Приложения:

Вас заинтересует
2 года назад
2 года назад
2 года назад
7 лет назад
9 лет назад