• Предмет: Алгебра
  • Автор: Танечка25
  • Вопрос задан 11 лет назад

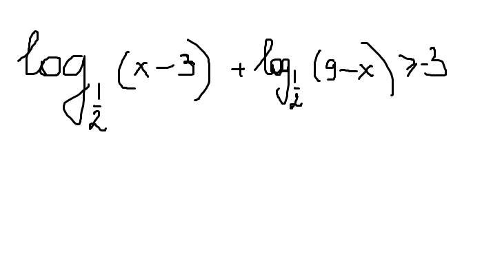
завтра контрольная. вот еще один пример помогите решить.. а то завалю все....

Приложения:

Ответы

Ответ дал: Гоша68
0

log1/2(x-3)(9-x)>=-3

[2^(-1)]^(-3)=8

(x-3)(9-x)<=8

12x-27-x^2<=8

x^2-12x+35>=0

x=7 x=5

область определения x>3 x<9 (3;9)

x<5 U x>7

 

(3;5] U [7;9)

 

Вас заинтересует