Помогите сократить дробь
Приложения:

michegraf:
методом группировки сделай , сгруппируй числа в числителе
Ответы
Ответ дал:
0
=х+3
.....................
.......................
.....................
.......................
Ответ дал:
0
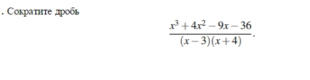
Перегруппировываем числитель:
(х³ - 9х) + (4х² - 36)
------------------------------ =
(х - 3)(х + 4)
х(х² - 9) + 4(х² - 9)
= ------------------------------ =
(х - 3)(х + 4)
(х + 4)(х² - 9)
= ------------------------------ =
(х - 3)(х + 4)
вторая скобка в числителе - это формула разности квадратов
(х² - 9) = (х - 3)(х + 3), т.е.
(х + 4)(х - 3)(х + 3)
= ------------------------------ = х + 3
(х - 3)(х + 4)
(х³ - 9х) + (4х² - 36)
------------------------------ =
(х - 3)(х + 4)
х(х² - 9) + 4(х² - 9)
= ------------------------------ =
(х - 3)(х + 4)
(х + 4)(х² - 9)
= ------------------------------ =
(х - 3)(х + 4)
вторая скобка в числителе - это формула разности квадратов
(х² - 9) = (х - 3)(х + 3), т.е.
(х + 4)(х - 3)(х + 3)
= ------------------------------ = х + 3
(х - 3)(х + 4)
Вас заинтересует
2 года назад
2 года назад
2 года назад
2 года назад
7 лет назад
7 лет назад
9 лет назад
9 лет назад