• Предмет: Алгебра
  • Автор: moiseenkonasta
  • Вопрос задан 2 года назад

помогите пожалуйста..........

Приложения:

Ответы

Ответ дал: Аноним
1
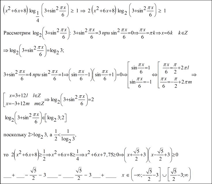
решение смотри во вложении....................
Приложения:
Вас заинтересует