• Предмет: Алгебра
  • Автор: komissarova200
  • Вопрос задан 3 года назад

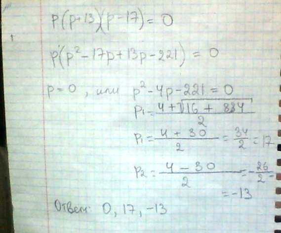
Решите уравнение способом разложения на множетили
p(p+13)(p-17)=0

Ответы

Ответ дал: Roman98Anastasiia
6
Держи) Все не так уж и сложно)))
Приложения:
Вас заинтересует