Ответы
Ответ дал:
0
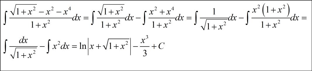
решение смотри во вложении......................
Приложения:

Ответ дал:
0
Спасибо большое!
Ответ дал:
0
на здоровье!
Вас заинтересует
2 года назад
7 лет назад
10 лет назад
10 лет назад
10 лет назад
10 лет назад