• Предмет: Алгебра
  • Автор: 09765
  • Вопрос задан 10 лет назад

Помогите решить логарифмическое неравенство и уравнения (подробно)
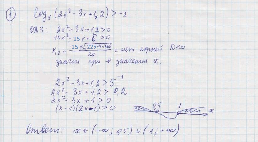
1) log_5(2x^2-3x+1.2)>-1
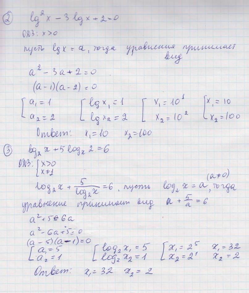
2) lg^2(x)-3lg(x)+2=0
3) log_2(x)+5log_x(2)=6

Ответы

Ответ дал: belcatya
0
решения в приложении:

Приложения:
Вас заинтересует