ПОМОГИТЕ. НАДО ОЧЕНЬ. МНОГО БАЛОВ ДАЮ. РЕШИТЕ ВСЕ РАСПИШИТЕ ПОПОДРОБНЕЕ!!!
ДОКАЖИТЕ ТОЖДЕСТВО
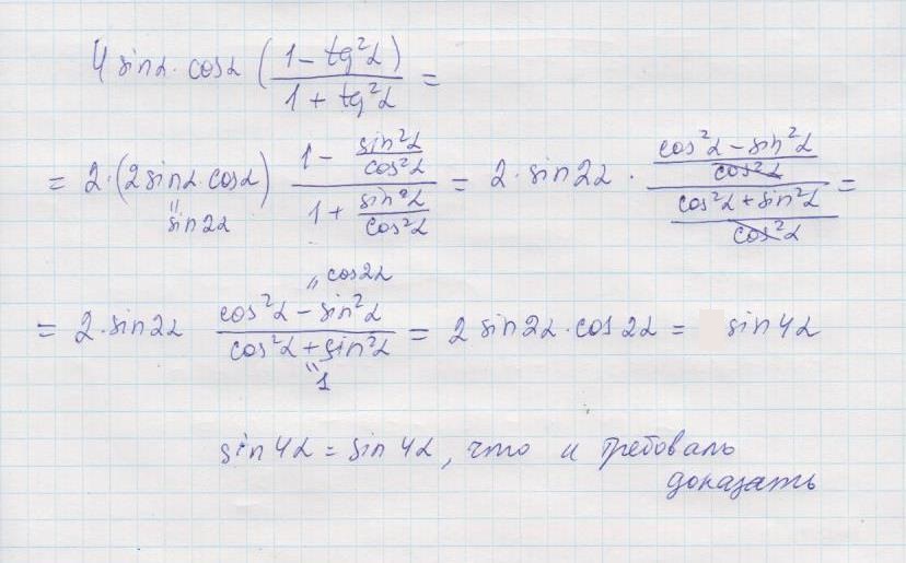
4sina*cosa(1-tg^2a)/1+tg^2a=sin4a
Ответы
Ответ дал:
31
решение в приложении:
Приложения:

superali89010:
нет 4sina*cosa(1-tg^2a)/и все это разделить на 1+tg^2a=sin4a
Вас заинтересует
2 года назад
2 года назад
2 года назад
7 лет назад
9 лет назад