• Предмет: Алгебра
  • Автор: shkristina95
  • Вопрос задан 11 лет назад

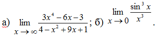
Помогите решить,ПОЖАЛУЙСТА!!! Найти пределы функций

Приложения:

Ответы

Ответ дал: Гоша68
0

a) 3(x^4-2x-1)/(9x+5-x^2)

lim(x->беск.)3(x^4-2x-1)/(9x+5-x^2)=-бесконечность

б) первый замечательный предел =1

Вас заинтересует