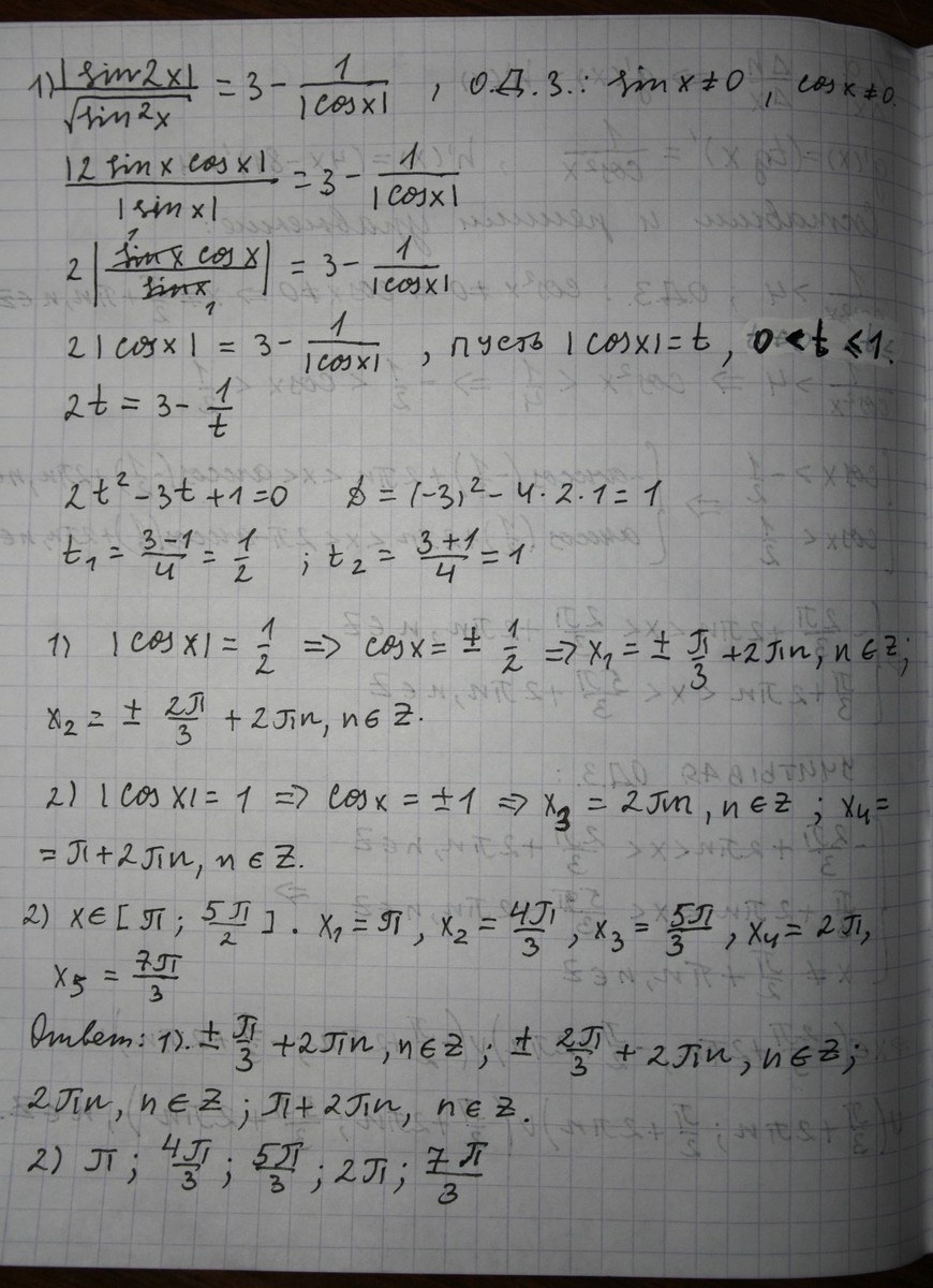
1) решите уравнение |sin2x|/ корень sin^2x =3- 1/|cosx|
2)найдите все корни этого уравнения принадлежащие отрезку [pi;5pi/2]
Ответы
Ответ дал:
0
Полное решение в прикрепленном файле
Приложения:
Вас заинтересует
3 года назад
3 года назад
8 лет назад
8 лет назад
10 лет назад
10 лет назад
11 лет назад