• Предмет: Алгебра
  • Автор: viktoriylorey
  • Вопрос задан 10 лет назад

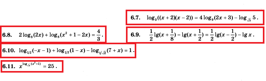
Помогите пожалуйста! Срочно!
Помогите решить хотя бы пару из этих примеров, пожалуйста.

Приложения:

Ответы

Ответ дал: LEROU21
0
Пока что так, 3 задания готовы, над двумя другими, те, что под знаком вопроса у меня, я подумаю, если что надумаю, то пришлю.
Надеюсь, каракули мои внятны и весьма понятны.



Приложения:
Ответ дал: viktoriylorey
0
Огромнейшее спасибо!
Ответ дал: IUV
0
********************************
Приложения:
Вас заинтересует