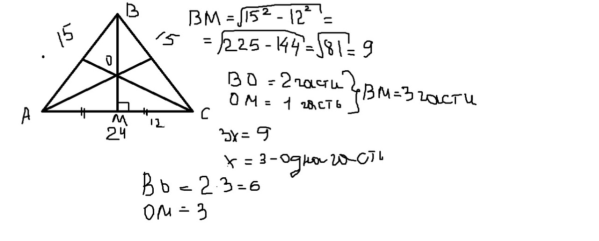
В треугольнике со сторонами 15 см, 15 см, 24 см. Найти отрезки на которые делятся медиана проведеная к основанию точкой пересечения медианы.
Ответы
Ответ дал:
0
В треугольнике медиана делится точкой пересечения медиан в отношении 2:1, считая от вершины.
(Надеюсь, понятно)
(Надеюсь, понятно)
Приложения:

Вас заинтересует
2 года назад
2 года назад
7 лет назад
10 лет назад
10 лет назад
10 лет назад