• Предмет: Геометрия
  • Автор: umnick23rus
  • Вопрос задан 10 лет назад

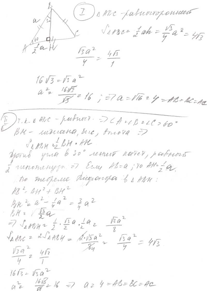
Дано:
ABC-треугольник
AB=BC=CA
S=4√3
Найти: AB-?

Вообщем вот так получилось у меня вместе с формулой свел для равностороннего

4√3/√3/4

Ребят помогите прошу! Посчитать не могу.Напишите люди добрые решение пожалуйста!

Ответы

Ответ дал: Jeltaia
0
Лови решение в приложении)
Приложения:
Ответ дал: Jeltaia
0
Добавила второй способ решения)
Вас заинтересует