Ответы
Ответ дал:
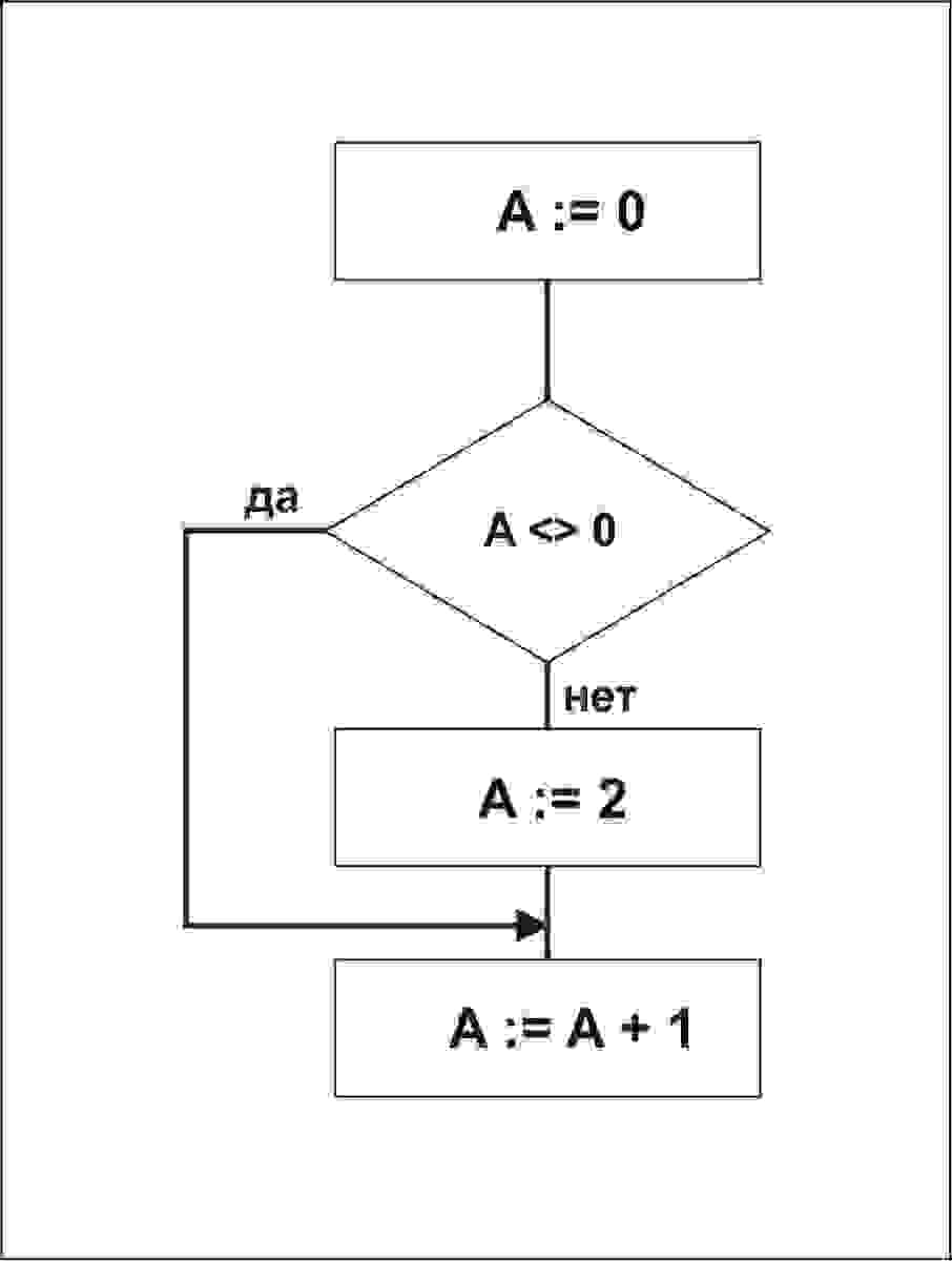
0
почему-то есть подозрение, что чего-то в условии не хватает... Ежели что - пишите в личку
Приложения:

Вас заинтересует
2 года назад
2 года назад
7 лет назад
7 лет назад
10 лет назад
10 лет назад
10 лет назад