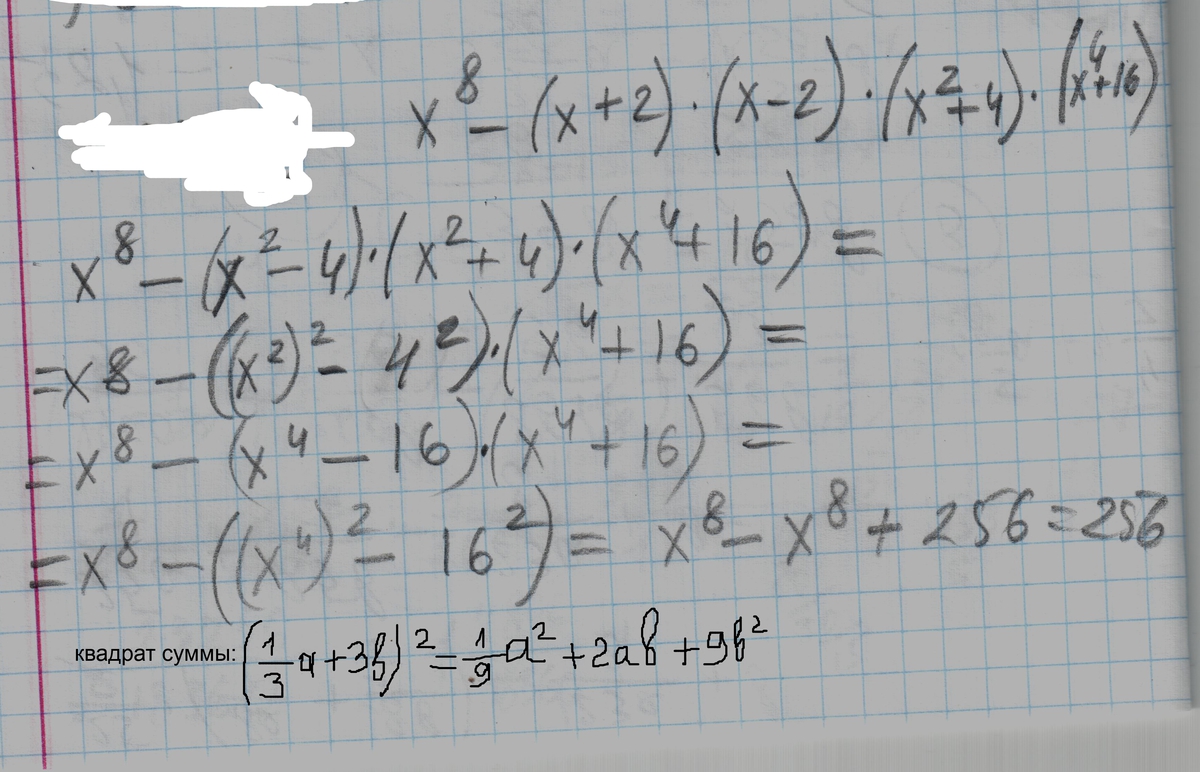
Ребята помогите пожалуйста решить ,мне очень сильно надо !!!!Я вас прошу !!! 1.Упростить выражение : Х(в 8 степени )-(х+2)х(Х-2)х(Х(в квадрате )+4)х(Х(в 4 степени ) +16) = ............................................(распишите все пожалуйста , а не ответ только ) 2.Преобразуйте в многочелен : (1/3а+3b) в квадрате = ......................(распишите пж ,а не ответ только .Буду очень сильно благодарна ,спасибо большое за ранее .
Ответы
Ответ дал:
0
....................................
Приложения:

Вас заинтересует
2 года назад
7 лет назад
7 лет назад
10 лет назад
10 лет назад