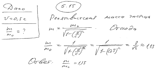
Частица движется со скоростью v = 0,5с. Во сколько раз релятивистская масса частицы больше массы покоя?
Ответы
Ответ дал:
0
решение внутри на фото
Приложения:

Вас заинтересует
2 года назад
7 лет назад
10 лет назад
10 лет назад