• Предмет: Алгебра
  • Автор: купислона
  • Вопрос задан 10 лет назад

Помогите, пожалйста, решить уравнение, чтобы ответ получить через вычисления дискриминанта => через х1 и х2:

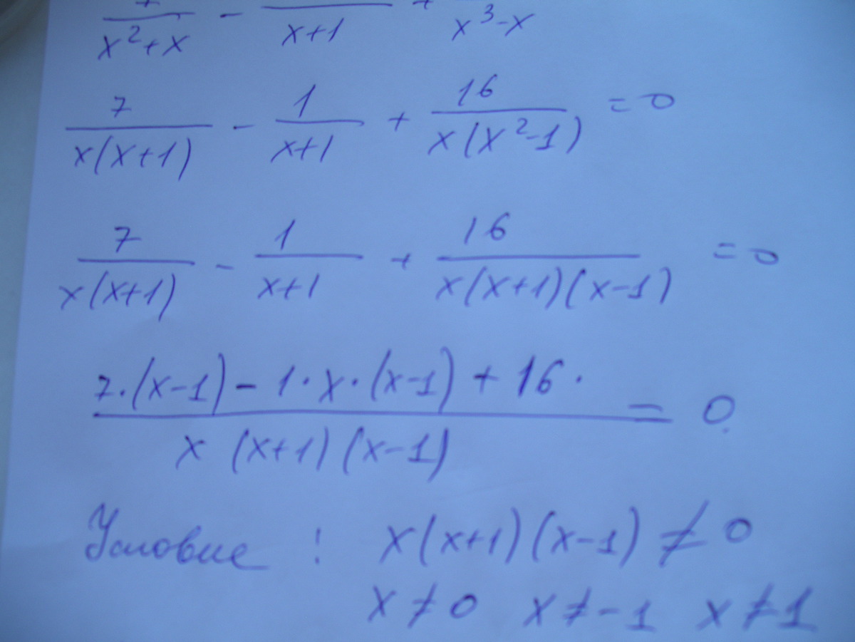
7 / (х^2+х) - 1 / (х+1) + 16 / (х^3-х) = 0.

Ответы

Ответ дал: Platinum15
0
фотка
_____________________________
Приложения:
Ответ дал: купислона
0
СПАСИБО БОЛЬШОООЕ!!!=)
Ответ дал: Platinum15
0
ок, а всё понятно-то?
Ответ дал: Platinum15
0
))
Вас заинтересует