• Предмет: Алгебра
  • Автор: cappo
  • Вопрос задан 3 года назад

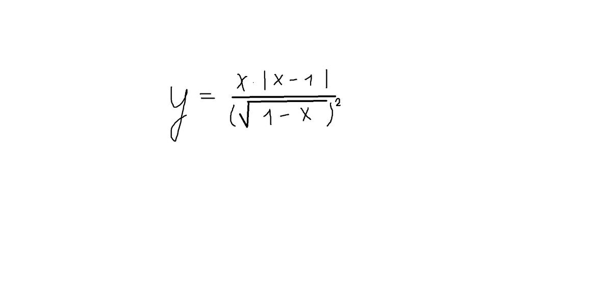
плачу за срочность!!!!!!!!!ребята,помогите!!!!изобразите график функции

Приложения:

Ответы

Ответ дал: yaldml
1
График кусочной функции
Приложения:

cappo: поможешь? http://znanija.com/task/11180670
Вас заинтересует