• Предмет: Математика
  • Автор: Ten15055
  • Вопрос задан 3 года назад

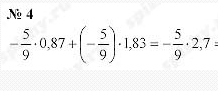
Решитеее плиз, -5/9x0,87+ (-5\9)x1,83. По действияям)

Приложения:

Ответы

Ответ дал: Sancho104
1
1) -5/9*0,87=5*87/9*100=-29/60
2) -5/9*1,83=5*183/9*100= -1 целая и1/60
3) -5/9*2,7=5*27/9*10=-1 целая и 1/2
4) -29/60 - 1 целая и1/60 - 1 целая и 1/2 = -1,5
Ответ: -1,5

Ten15055: Фотку пришлю сагнчо
Ten15055: Ты есть в вк
Sancho104: нет
Ten15055: Очень жаль! Сейчас!
Ten15055: Ответ будет -1,5
Sancho104: ща исправим
Sancho104: готово
Ten15055: СПАСИБО!)!)!)!)!
Sancho104: Ты лучше учи сам,
Ten15055: Хорошо, просто тренируюсь,завтра контрольная. И в четверти либо 4 либо 5.
Вас заинтересует