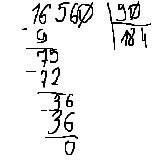
помогите матика деление столбиком 2снимок образец
Приложения:


tim2000on:
а чем помочь надо
Ответы
Ответ дал:
1
вот так,если не ошибаюсь давно в столбик не считала,но это правильно
Приложения:

Вас заинтересует
2 года назад
2 года назад
7 лет назад
7 лет назад
9 лет назад