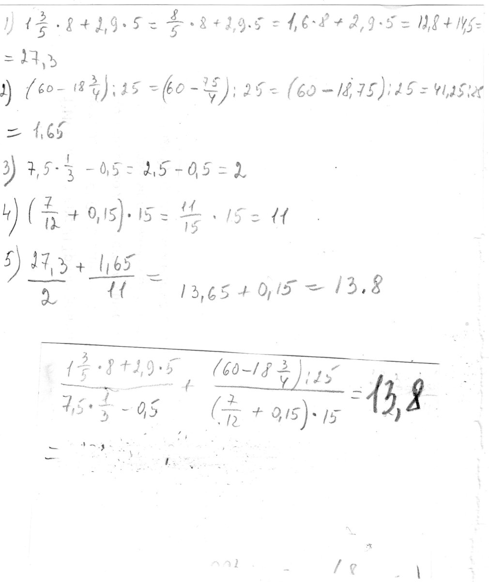
решите пример 1целая3/5*8+2,9*5 (60-18целых3/4):25
----------------------------------------------------- +---------------------------------- =
7,5*1/3-0,5 (7/12+0,15)*15
В виде десятичной дроби
Ответы
Ответ дал:
43
смотри решение во вложении надеюсь я правильно поняла
Приложения:


sanyakaloshin:
обьясните по подробнее как умножили7,5*1/3
Вас заинтересует
2 года назад
2 года назад
2 года назад
7 лет назад