• Предмет: Алгебра
  • Автор: larina555
  • Вопрос задан 3 года назад

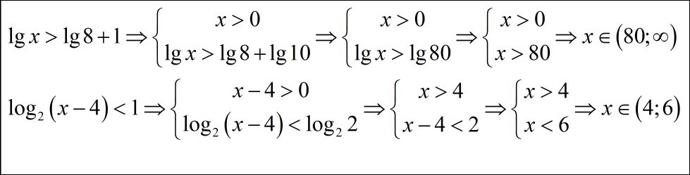
решительно 2а неравенства.картинка ниже.

Приложения:

Ответы

Ответ дал: Аноним
1
решение смотри во вложении..........................
Приложения:
Вас заинтересует