Ответы
Ответ дал:
1
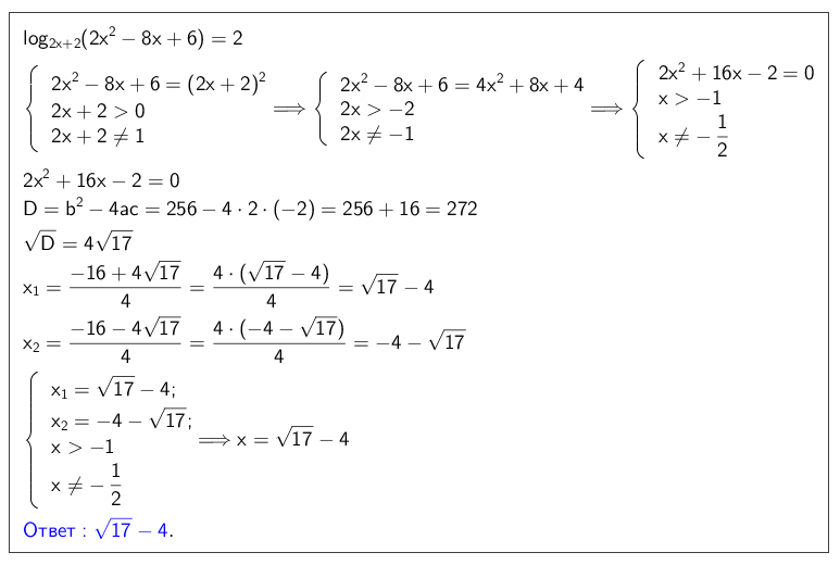
Смотрите решение в прикреплённом файле.
Приложения:

Евгеniya:
спасибо огромное) прямо выручили)
Вас заинтересует
2 года назад
2 года назад
2 года назад
2 года назад
7 лет назад
7 лет назад
9 лет назад