• Предмет: Алгебра
  • Автор: 77th
  • Вопрос задан 3 года назад

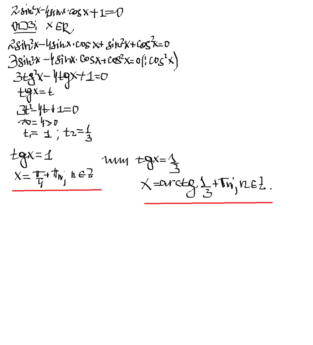
2sin^2 x-4sin x cos x+1=0 не могу решить, прошу вашей помощи

Ответы

Ответ дал: martiemiliya
1
Смотри решение во вложении.)
Приложения:
Вас заинтересует