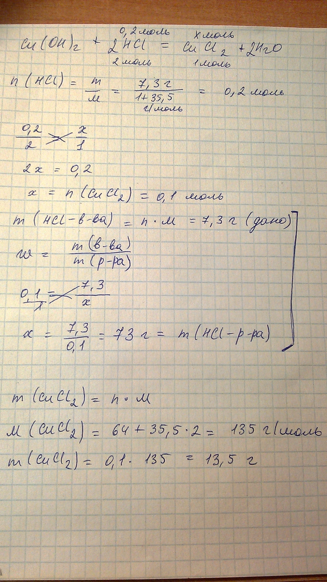
Определите массу соли, которая образуется при взаимодействии гидроксида меди(2) с 7,3 г 10% раствора соляной кислоты. Пожалуйста, помогите!!!! Прошу Вас!!!
Ответы
Ответ дал:
1
Во вкладке
Помеченное можешь не переписывать, я это для себя писала
Помеченное можешь не переписывать, я это для себя писала
Приложения:

vasyukovaanast:
Большое спасибо!!!
Вас заинтересует
2 года назад
2 года назад
2 года назад
7 лет назад
9 лет назад
9 лет назад