1. 3^x^(2-6x+5)=1/27
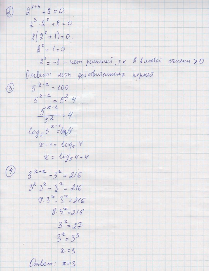
2. 2^(x+3)+8=0
3. 5^(x-2)=100
4. 3^(x+2)-3^x=216
belcatya:
1. 3^(x^2-6x+5)=1/27 - может так в первом???
Ответы
Ответ дал:
0
решение в приложении:
Приложения:
Вас заинтересует
2 года назад
2 года назад
2 года назад
2 года назад
7 лет назад
9 лет назад
9 лет назад